Given the root of a binary tree, find the maximum value v for which there exist different nodes a and b where v = |a.val - b.val| and a is an ancestor of b.
A node a is an ancestor of b if either: any child of a is equal to b or any child of a is an ancestor of b.
Example 1:

Input: root = [8,3,10,1,6,null,14,null,null,4,7,13]
Output: 7
Explanation: We have various ancestor-node differences, some of which are given below :
|8 - 3| = 5
|3 - 7| = 4
|8 - 1| = 7
|10 - 13| = 3
Among all possible differences, the maximum value of 7 is obtained by |8 - 1| = 7.
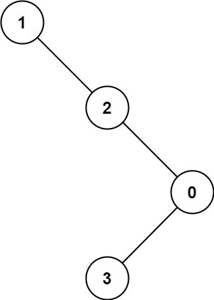
Example 2:

Input: root = [1,null,2,null,0,3]
Output: 3
Constraints:
- The number of nodes in the tree is in the range [2, 5000].
- 0 <= Node.val <= 105
# Definition for a binary tree node.
# class TreeNode:
# def __init__(self, val=0, left=None, right=None):
# self.val = val
# self.left = left
# self.right = right
class Solution:
def maxAncestorDiff(self, root: Optional[TreeNode]) -> int:
self.ans=0
def dfs(node, cmax, cmin):
if not node:
return
self.ans=max(self.ans, abs(cmax-node.val), abs(cmin-node.val))
cmax=max(node.val,cmax)
cmin=min(node.val,cmin)
dfs(node.left, cmax, cmin)
dfs(node.right, cmax, cmin)
dfs(root,root.val,root.val)
return self.ans'알고리즘 문제 > Leetcode' 카테고리의 다른 글
| 811. Subdomain Visit Count (0) | 2023.05.02 |
|---|---|
| 1602. Find Nearest Right Node in Binary Tree (0) | 2023.05.02 |
| 54. Spiral Matrix (0) | 2023.05.02 |
| 1876. Substrings of Size Three with Distinct Characters (0) | 2023.05.02 |
| 921. Minimum Add to Make Parentheses Valid (0) | 2023.05.02 |