Given a n-ary tree, find its maximum depth.
The maximum depth is the number of nodes along the longest path from the root node down to the farthest leaf node.
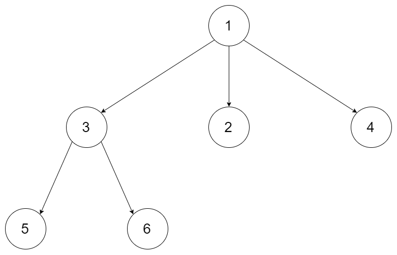
Nary-Tree input serialization is represented in their level order traversal, each group of children is separated by the null value (See examples).
Example 1:

Input: root = [1,null,3,2,4,null,5,6]
Output: 3
Example 2:

Input: root = [1,null,2,3,4,5,null,null,6,7,null,8,null,9,10,null,null,11,null,12,null,13,null,null,14]
Output: 5
Constraints:
- The total number of nodes is in the range [0, 104].
- The depth of the n-ary tree is less than or equal to 1000.
"""
# Definition for a Node.
class Node:
def __init__(self, val=None, children=None):
self.val = val
self.children = children
"""
class Solution:
def maxDepth(self, root: 'Node') -> int:
self.ans=1
if not root:
return 0
def dfs(node, depth):
self.ans=max(self.ans, depth)
for c in node.children:
dfs(c, depth+1)
dfs(root,1)
return self.ans'알고리즘 문제 > Leetcode' 카테고리의 다른 글
| 762. Prime Number of Set Bits in Binary Representation (0) | 2023.04.02 |
|---|---|
| 2006. Count Number of Pairs With Absolute Difference K (0) | 2023.04.02 |
| 657. Robot Return to Origin (0) | 2023.04.02 |
| 643. Maximum Average Subarray I (0) | 2023.04.02 |
| 292. Nim Game (0) | 2023.04.02 |